Electrolytes and Body Fluids Indian Medical PG Flashcards - Medical Study Cards
Master Electrolytes and Body Fluids with OnCourse flashcards. These spaced repetition flashcards are designed for medical students preparing for NEET PG, USMLE Step 1, USMLE Step 2, MBBS exams, and other medical licensing examinations.
Electrolytes and Body Fluids Flashcard Deck - 60 Cards
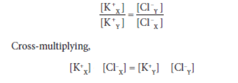
Flashcard 1: What is the following equation also called as? _____
Answer: Gibbs-Donan equation
Flashcard 2: Diarrhea is a cause of _____-osmotic volume contraction
Answer: iso
Flashcard 3: Isotonic NaCl infusion is a cause of _____-osmotic volume expansion
Answer: iso
Flashcard 4: Acidosis may cause K+ to shift _____ cells, causing hyperkalemia
Answer: out of
Flashcard 5: _____ volume can be measured using D2O or tritiated water (THO)
Answer: Total body water
Flashcard 6: _____ and inulin are the indicators used for the measurement of intracellular fluid volume.
Answer: Deuterium oxide
Flashcard 7: On average, _____ fluid is 40% of body weight
Answer: intracellular
Flashcard 8: Sweating in a desert is a cause of _____-osmotic volume contraction
Answer: hyper
Flashcard 9: _____kalemia along with hyponatremia (hypervolemia) is seen only in Freshwater drowning
Answer: Hyper
Flashcard 10: _____ fluid volume can be measured using inulin or mannitol
Answer: Extracellular
Flashcard 11: _____ volume can be measured by using radiolabeled albumin or Evan's blue
Answer: Plasma
Flashcard 12: Extracellular fluid is divided into _____ (75% of ECF) and plasma (25% of ECF)
Answer: interstitial fluid
Flashcard 13: _____, Deuterium and Antipyrine are used for measurement of Total body water (TBW)
Answer: Tritium
Flashcard 14: _____ -osmolarity may cause K+ to shift out of cells, causing hyperkalemia
Answer: Hyper
Flashcard 15: _____ -osmolarity may cause K+ to shift into cells, causing hypokalemia
Answer: Hypo
Flashcard 16: The interstitial fluid pressure is _____ in most of the body except the encapsulated organs
Answer: negative
Flashcard 17: Increased luminal anions (e.g. HCO3-) may cause an _____ in K+ secretion and thus hypo-kalemia
Answer: increase
Flashcard 18: Excessive NaCl intake is a cause of _____-osmotic volume expansion
Answer: hyper
Flashcard 19: _____ is calculated by Vant Hoffs law.
Answer: Osmotic pressure
Flashcard 20: Alkalosis may cause K+ to shift _____ cells, causing hypokalemia
Answer: into
Flashcard 21: ECF volume _____ produces a(n) increase in capillary hydrostatic pressure (Pc)
Answer: expansion
Flashcard 22: ECF volume _____ produces a(n) decrease in capillary oncotic pressure (C)
Answer: expansion
Flashcard 23: Capillary fluid transudation results in clinically apparent edema when the _____ has risen sufficiently to overwhelm the resorptive capacity of tissue lymphatics
Answer: fluid outflow (net plasma filtration)
Flashcard 24: Values of _____ and ICF cannot be measured directly
Answer: Interstitial Fluid volume
Flashcard 25: Volume _____ refers to a decrease in ECF volume
Answer: contraction
Flashcard 26: ECF volume _____ produces a(n) increase in capillary oncotic pressure (C)
Answer: contraction
Flashcard 27: The _____ is a circumventricular organ that senses changes in serum osmolarity
Answer: OVLT (organum vasculosum of the lamina terminalis)
Flashcard 28: Adrenal insufficiency is a cause of _____-osmotic volume contraction
Answer: hypo
Flashcard 29: The major cation of _____ fluid is Na+
Answer: extracellular
Flashcard 30: _____ ,125I-iothalamate, Thiosulfate and Inulin are used for measurement of ECF volume
Answer: 22Na
Flashcard 31: On average, _____ fluid is 20% of body weight
Answer: extracellular
Flashcard 32: The _____ of a body fluid compartment depends on the amount of solute it contains
Answer: volume
Flashcard 33: Stimulation of hypothalamic osmoreceptors stimulates _____ and secretion of ADH
Answer: thirst
Flashcard 34: _____ in serum Mg2+ concentration cause increased PTH secretion
Answer: Mild decreases
Flashcard 35: _____ and 125I-albumin are used for measurement of Plasma Volume
Answer: Evans blue
Flashcard 36: Volume _____ refers to an increase in ECF volume
Answer: expansion
Flashcard 37: In _____ water drowning, the chloride content of left heart is lower than that of the right heart and in case of salt water drowning, reverse situation is observed.
Answer: fresh
Flashcard 38: _____ -lymph (inner ear) is characterized by high Na+ and low K+ concentration
Answer: Peri
Flashcard 39: _____ is an ultrafiltrate of plasma
Answer: Interstitial fluid
Flashcard 40: The concentration of osmotically active particles is usually expressed in _____.
Answer: osmoles
Flashcard 41: Normal osmolarity of plasma is mainly due to _____
Answer: sodium ions
Flashcard 42: What is the formula to calculate ICF?_____
Answer: TBW-ECF
Flashcard 43: Urea is a highly permeant solute, hence 300mMol/L urea solution behaves as a _____tonic solution.
Answer: hypo
Flashcard 44: _____natremic dehydration is the most dangerous type of dehydration.
Answer: Hyper
Flashcard 45: What is the formula to calculate IFV?_____
Answer: ECF-PV
Flashcard 46: Osmoreceptors that control osmolality of body fluids are located in _____ hypothalamus.
Answer: anterior
Flashcard 47: Proteins actually contribute only slightly to the total number of osmotically active particles (
Answer: Proteins actually contribute only slightly to the total number of osmotically active particles (
Flashcard 48: What is the following equation also called as? _____
Answer: Gibbs-Donan equation
Flashcard 49: The movement of which molecule across the membrane is affected most by osmotic pressure?_____
Answer: Water
Flashcard 50: Approximately _____ mL of water is lost through skin every 24 hours
Answer: 600-1000
Flashcard 51: Among osmolarity and osmolality, which one is affected by the volume of the various solutes in the solution and the temperature?_____
Answer: Osmolarity
Flashcard 52: The volume of a fluid compartment in the body can be measured by _____ method.
Answer: "indicator (dye)-dilution"
Flashcard 53: Nasal secretions have a pH of about _____
Answer: 7
Flashcard 54: Interstitial fluid pressure is positive in rigid closed compartments- _____
Answer: bone marrow, brain (2)
Flashcard 55: Interstitial fluid pressure is positive in encapsulated organs- _____
Answer: kidney, skeletal muscle (2)
Flashcard 56: The volume of sweat normally is about _____/day,
Answer: 100 ml
Flashcard 57: The total safety factor against edema is about _____ mmHg.
Answer: 17
Flashcard 58: Absolute volume of _____ in children is, smaller than in adults.
Answer: ECF (ECF/ICF)
Flashcard 59: The value of normal tissue oncotic pressure is _____ mmHg
Answer: 12
Flashcard 60: The normal insensible water loss is _____ mL/hour.
Answer: 50
Keywords: Electrolytes and Body Fluids flashcards, medical flashcards, NEET PG preparation, USMLE Step 1 flashcards, Anki alternative, spaced repetition medical, OnCourse flashcards