Enter your email to get your 85% OFF code and unlock the full USMLE question bank on the app.
The kidney filters 180 liters of plasma daily through glomeruli that select molecules with nanometer precision, maintain filtration despite blood pressure swings, and serve as the clinical gateway to detecting renal disease. You'll master the three-layered filtration barrier that blocks proteins while passing waste, decode the autoregulation mechanisms that defend GFR when pressures fluctuate, apply Starling forces to predict filtration dynamics, and use clearance calculations to quantify kidney function in real patients.
📌 Remember: GFR-FLOW - Glomerular pressure (50 mmHg), Filtration coefficient (12.5 mL/min/mmHg), Resistance balance (afferent vs efferent), Forces (Starling's quartet), Load (oncotic 25 mmHg), Outflow pressure (10 mmHg), Water movement (180 L/day)
The glomerular filtration rate represents the kidney's primary functional measurement, with normal values ranging 90-120 mL/min/1.73m² in healthy adults. This rate depends on the intricate balance of hydrostatic and oncotic pressures across the glomerular capillary wall.
| Parameter | Normal Value | Clinical Significance | Pathological Range | Impact on GFR |
|---|---|---|---|---|
| GFR | 90-120 mL/min/1.73m² | Kidney function baseline | <60 = CKD | Direct measure |
| Filtration Fraction | 20% | Efficiency indicator | >25% = efferent constriction | Indirect measure |
| Renal Blood Flow | 1200 mL/min | Perfusion adequacy | <800 = hypoperfusion | Proportional |
| Glomerular Pressure | 50 mmHg | Filtration driving force | <40 = reduced filtration | Linear relationship |
| Net Filtration Pressure | 15 mmHg | Effective gradient | <10 = filtration failure | Critical threshold |
💡 Master This: Net filtration pressure = (Glomerular hydrostatic 50 - Bowman's space 10) - (Plasma oncotic 25 - Bowman's oncotic 0) = 15 mmHg. This 15 mmHg gradient drives 180 liters of daily filtration.
The filtration coefficient (Kf) of 12.5 mL/min/mmHg represents the kidney's hydraulic permeability, incorporating both surface area (1.5 m² per kidney) and membrane permeability. Understanding this relationship predicts how diseases affecting glomerular structure impact overall kidney function.

📌 Remember: FENCE - Fenestrated endothelium (70-100 nm pores), Electronegative charges, Nephrin slit diaphragms (4 nm), Collagen IV matrix, Epithelial foot processes (podocytes)
The filtration barrier components work synergistically to achieve molecular selectivity:
| Molecule | Molecular Weight (kDa) | Filtration Coefficient | Clinical Significance | Normal Urine Level |
|---|---|---|---|---|
| Water | 0.018 | 1.0 | Free filtration | Variable |
| Glucose | 0.18 | 1.0 | Freely filtered, reabsorbed | <0.1 g/day |
| Creatinine | 0.113 | 1.0 | Ideal filtration marker | 1-2 g/day |
| Albumin | 66 | 0.005 | Proteinuria marker | <30 mg/day |
| IgG | 150 | 0.001 | Glomerular damage indicator | <10 mg/day |

The charge selectivity of the barrier preferentially retains negatively charged proteins. Albumin (pI 4.7) carries negative charge at physiological pH, enhancing its retention despite borderline size (3.6 nm Stokes radius).
💡 Master This: Loss of negative charge in the GBM (diabetic nephropathy) allows albumin passage before structural damage occurs, explaining why microalbuminuria precedes GFR decline by 5-10 years in diabetes.
Understanding barrier selectivity predicts proteinuria patterns: selective proteinuria (albumin predominant) suggests charge loss, while non-selective proteinuria indicates structural barrier disruption with filtration coefficient changes affecting molecules >40 kDa.
📌 Remember: AUTO-PILOT - Afferent constriction, Uniform GFR maintenance, Tubuloglomerular feedback, Optimal pressure range (80-180 mmHg), Pressure-independent flow, Intrinsic mechanisms, Limit protection, Oscillation dampening, Time constant (5-10 seconds)
The autoregulation system maintains renal blood flow at 1200 mL/min and GFR at 120 mL/min across the autoregulatory range:
| Blood Pressure Range | Autoregulation Status | GFR Maintenance | Primary Mechanism | Clinical Significance |
|---|---|---|---|---|
| <80 mmHg | Below threshold | Pressure-dependent decline | None active | Risk of acute kidney injury |
| 80-180 mmHg | Active autoregulation | ±10% variation | Myogenic + TGF | Normal kidney protection |
| >180 mmHg | Overwhelmed system | Pressure-dependent increase | Breakthrough | Glomerular damage risk |
| Chronic HTN | Reset autoregulation | Shifted curve right | Adaptive changes | Requires higher pressures |
| ACE inhibitor use | Impaired autoregulation | Enhanced pressure sensitivity | Efferent dilation | Monitor for AKI |

The tubuloglomerular feedback system creates oscillations in single nephron GFR with period of 30-40 seconds, representing the delay time for fluid transit from glomerulus to macula densa plus the response time for adenosine-mediated vasoconstriction.
💡 Master This: TGF sensitivity increases with volume depletion and decreases with volume expansion, explaining why dehydrated patients show exaggerated GFR responses to ACE inhibitors that block efferent arteriolar tone.
Autoregulation efficiency decreases with age, dropping from 90% effectiveness in young adults to 60% in patients >70 years, contributing to increased susceptibility to pressure-related kidney injury in elderly patients.
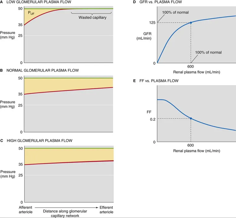
📌 Remember: PUSH-PULL - Plasma hydrostatic (50 mmHg favors filtration), Urinary hydrostatic (10 mmHg opposes), Serum oncotic (25-35 mmHg opposes), Hydrostatic gradient (40 mmHg), Protein-free filtrate, Ultrafiltration coefficient (12.5), Linear pressure relationship, Length-dependent changes
The Starling equation: GFR = Kf × [(PGC - PBS) - (πGC - πBS)]
Where normal values create the filtration driving force:
| Location | Hydrostatic Pressure | Oncotic Pressure | Net Filtration Pressure | Filtration Status |
|---|---|---|---|---|
| Afferent end | 50 mmHg | 25 mmHg | 15 mmHg | Active filtration |
| Mid-capillary | 50 mmHg | 30 mmHg | 10 mmHg | Continued filtration |
| Efferent end | 50 mmHg | 35 mmHg | 5 mmHg | Minimal filtration |
| Filtration equilibrium | 50 mmHg | 40 mmHg | 0 mmHg | No net filtration |
| Post-equilibrium | 50 mmHg | >40 mmHg | Negative | Theoretical reabsorption |

The filtration fraction (FF = GFR/RPF = 20%) determines how quickly oncotic pressure rises. Higher FF (efferent constriction) accelerates equilibrium, while lower FF (afferent dilation) maintains filtration pressure longer.
💡 Master This: Efferent arteriolar constriction (angiotensin II) increases both glomerular pressure and filtration fraction, creating a biphasic GFR response: initial increase from higher pressure, then plateau from earlier filtration equilibrium.
Understanding Starling forces predicts drug effects: ACE inhibitors preferentially dilate efferent arterioles, reducing both glomerular pressure (-5 to -10 mmHg) and filtration fraction, explaining the 10-20% GFR decline that indicates appropriate renoprotection.

📌 Remember: CLEAR-CUT - Clearance = UV/P formula, Liters per minute units, Exact GFR measurement (inulin), Approximation methods (creatinine), Renal plasma flow (PAH), Creatinine overestimation (10-20%), Urine collection accuracy, Timed collections essential
The fundamental clearance equation: Clearance = (Urine concentration × Urine flow rate) / Plasma concentration
C = UV/P where:
| Substance | Normal Clearance | Filtration | Reabsorption | Secretion | Clinical Use |
|---|---|---|---|---|---|
| Inulin | 120 mL/min | 100% | 0% | 0% | True GFR measurement |
| Creatinine | 130 mL/min | 100% | 0% | 10-20% | Clinical GFR estimate |
| Urea | 60 mL/min | 100% | 50% | 0% | Concentration ability |
| Glucose | 0 mL/min | 100% | 100% | 0% | Reabsorption capacity |
| PAH | 650 mL/min | 100% | 0% | 90% | Renal plasma flow |
Estimated GFR equations eliminate urine collection requirements:
💡 Master This: Creatinine clearance overestimates GFR because 10-20% of urinary creatinine comes from tubular secretion via OCT2 and MATE1 transporters, blocked by cimetidine and trimethoprim, causing artificial GFR decline.
Understanding clearance principles predicts drug dosing: medications with renal clearance >30% require dose adjustment when GFR falls below 60 mL/min/1.73m², with linear dose reduction proportional to GFR decline.
📌 Remember: RAPID-DX - Ratio analysis (BUN/Cr), Acute vs chronic timeline, Pre/intrinsic/post classification, Imaging for obstruction, Drug history review, Dipstick proteinuria, X-ray for size/stones
Pre-Renal Azotemia (Functional GFR Reduction):
Intrinsic Renal Disease (Structural GFR Loss):
Post-Renal Obstruction (Mechanical GFR Blockade):
| Parameter | Pre-Renal | Intrinsic Renal | Post-Renal | Clinical Significance |
|---|---|---|---|---|
| BUN/Cr Ratio | >20:1 | 10-15:1 | Variable | Distinguishes functional vs structural |
| FENa | <1% | >2% | Variable | Tubular function assessment |
| Urine Osmolality | >500 mOsm/kg | <350 mOsm/kg | Variable | Concentrating ability |
| Proteinuria | Minimal | Often >300 mg/day | Minimal | Glomerular integrity |
| Response to Volume | Rapid improvement | No improvement | No improvement | Functional reserve |

Chronic Kidney Disease Staging based on GFR:
💡 Master This: GFR decline >25% from baseline within 48 hours defines acute kidney injury regardless of absolute value, while sustained GFR <60 mL/min/1.73m² for >3 months defines chronic kidney disease requiring nephrology referral.
Drug-Induced GFR Changes follow predictable patterns: ACE inhibitors cause 10-20% decline (acceptable), NSAIDs reduce GFR via afferent constriction (reversible), while aminoglycosides cause tubular necrosis with FENa >2% and granular casts.
📌 Remember: MASTER-GFR - Measurement accuracy (±10%), Assessment timeline (<24 hours), Staging precision (CKD 1-5), Trend monitoring (>25% change), Etiology classification (pre/intrinsic/post), Referral thresholds (GFR <30), Guideline adherence (KDIGO), Follow-up intervals, Risk stratification
Essential Clinical Thresholds:
Rapid Assessment Protocol:
| GFR Range | Monitoring Frequency | Key Actions | Medication Adjustments | Specialist Referral |
|---|---|---|---|---|
| >90 | Annual | Routine screening | None required | Not indicated |
| 60-89 | Every 6 months | Risk factor modification | Monitor nephrotoxic drugs | Consider if declining |
| 45-59 | Every 3 months | CKD education, bone health | Dose adjust >50% renal excretion | Recommended |
| 30-44 | Every 3 months | Anemia screening, acidosis | Dose adjust >30% renal excretion | Required |
| 15-29 | Monthly | Dialysis education | Avoid nephrotoxic drugs | Urgent referral |
| <15 | Weekly | Renal replacement therapy | Dialysis dosing protocols | Immediate referral |
Clinical Decision Algorithm:
💡 Master This: Creatinine doubling represents 50% GFR loss, tripling indicates 67% loss, and quadrupling means 75% loss - use these relationships for rapid mental calculations of functional kidney reserve during acute illness.
Understanding GFR mastery transforms clinical practice through systematic assessment, appropriate referral timing, and evidence-based interventions that optimize patient outcomes while preventing progression to end-stage renal disease.
Signup to continue reading this lesson and unlimited access questions, flashcards, AI notes, and more
Have doubts about this lesson?
Ask Rezzy, your AI Study Mate, to explain anything you didn't understand
Get full Oncourse access with lessons, practice questions, flashcards and AI study tools.
Scan to download app