Mutations & Inheritance - Gene Jumbles & Family Fumbles
- Point Mutations: Single nucleotide substitution.
- Silent: Same amino acid (tRNA wobble).
- Missense: Different amino acid (e.g., Sickle Cell).
- Nonsense: Becomes a STOP codon.
- Frameshift: Insertion/deletion not divisible by 3; alters reading frame. (e.g., Duchenne Muscular Dystrophy).

⭐ Mitochondrial inheritance is exclusively maternal. All offspring of an affected female inherit the mutation, often with variable severity (heteroplasmy).
Mendelian: Autosomal - The Dominant & Recessive Rumble
| Feature | Autosomal Dominant (AD) | Autosomal Recessive (AR) |
|---|---|---|
| Transmission | Vertical; seen in every generation. | Horizontal; skips generations. |
| Recurrence Risk | 50% with one affected heterozygous parent. | 25% with two carrier parents. |
| Key Features | Often involves structural proteins. Variable expressivity & incomplete penetrance are common. | Often involves enzyme deficiencies. More uniform expression. ↑ frequency with consanguinity. |
| Examples | Familial hypercholesterolemia, Huntington's, Marfan syndrome, Neurofibromatosis. | Cystic fibrosis, Sickle cell anemia, Phenylketonuria (PKU), Tay-Sachs. |
⭐ High-Yield: Many new AD cases arise from de novo mutations, especially with ↑ paternal age (e.g., Achondroplasia). In contrast, AR diseases often appear unexpectedly, with parents being asymptomatic carriers.
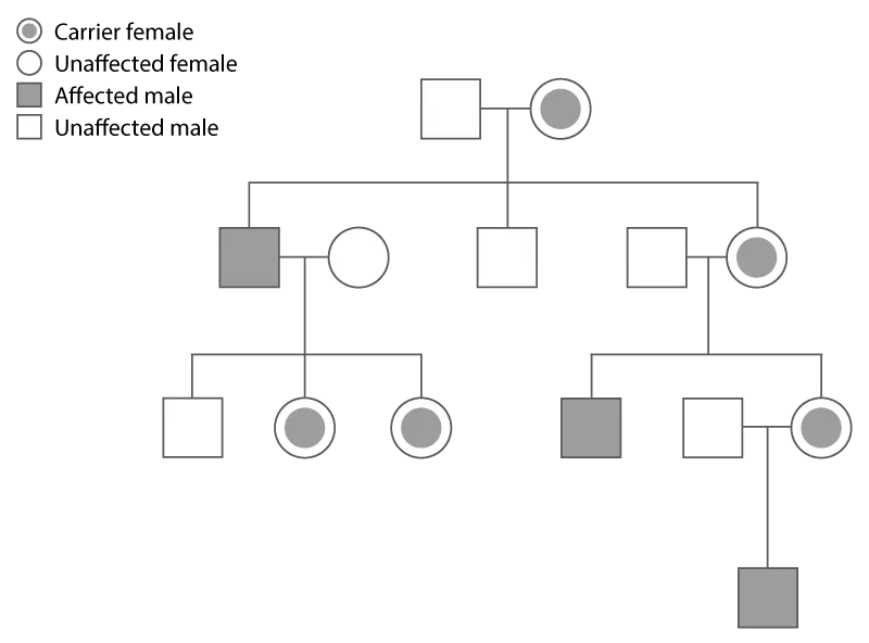
Mendelian: X-Linked & Atypical - X-ceptional Rules & Twists
-
X-Linked Recessive:
- Skips generations; no male-to-male transmission.
- Affected father to all daughters (carriers).
- 📌 Examples: Hemophilia, G6PD deficiency, Duchenne/Becker MD, Lesch-Nyhan, Bruton agammaglobulinemia.
-
X-Linked Dominant:
- No male-to-male transmission.
- Affected father to ALL daughters.
- Examples: Fragile X, Alport, Rett Syndrome.
-
Atypical Inheritance:
- Mitochondrial: Maternal inheritance only; all offspring affected. Variable severity (heteroplasmy).
- Imprinting: Parent-of-origin gene silencing.
- Prader-Willi: Paternal gene deleted (Chr 15).
- Angelman: Maternal gene deleted (Chr 15).
- Anticipation: Trinucleotide repeats worsen across generations (e.g., Huntington's, Fragile X).
⭐ Lyonization (X-inactivation): Random inactivation of one X chromosome in females (Barr body), causing variable expression of X-linked traits in carriers.

Cytogenetic Disorders - Chromosome Chaos
- Result from errors in meiosis (nondisjunction) or mitosis.
- Leads to abnormal number of chromosomes (aneuploidy) or structural changes (e.g., deletions, translocations).
| Disorder | Karyotype | Core Features |
|---|---|---|
| Down Syndrome | Trisomy 21 | Flat facies, single palmar crease, duodenal atresia, congenital heart defects (AV septal defect). |
| Edwards Syndrome | Trisomy 18 | Rocker-bottom feet, micrognathia, clenched hands with overlapping fingers, prominent occiput. |
| Patau Syndrome | Trisomy 13 | Cleft lip/palate, polydactyly, microcephaly, severe CNS defects. |
| Klinefelter Syndrome | 47,XXY | Male. Tall stature, gynecomastia, testicular atrophy, infertility. |
| Turner Syndrome | 45,X | Female. Short stature, webbed neck, broad chest, coarctation of aorta. |
📌 Mnemonic (Trisomies): Drinking age (21), Election age (18), Puberty age (13).
High‑Yield Points - ⚡ Biggest Takeaways
- Autosomal Dominant disorders often affect structural proteins (e.g., Marfan) and show variable expressivity and pleiotropy.
- Autosomal Recessive disorders are typically enzyme deficiencies (e.g., Tay-Sachs), with a more uniform presentation.
- X-Linked Recessive disorders show no male-to-male transmission and often skip generations through carrier females.
- Mitochondrial DNA is inherited exclusively from the mother and passed to all of her offspring.
- Trinucleotide repeat disorders (e.g., Huntington, Fragile X) can show anticipation-worsening disease in subsequent generations.
- Genomic imprinting causes disease when the single active parental allele is lost (e.g., Prader-Willi, Angelman).
Unlock the full lesson and continue reading
Signup to continue reading this lesson and unlimited access questions, flashcards, AI notes, and more