Nitrogen Sources - The Ammonia Problem
- Primary Source: Amino acid catabolism (transamination & deamination) releases free ammonia ($NH_3$).
- The Problem: $NH_3$ is highly neurotoxic as it readily crosses the blood-brain barrier.
- In the brain, $NH_3$ depletes α-ketoglutarate by forming glutamate, thus inhibiting the TCA cycle.
- Safe Transport: To prevent toxicity, nitrogen is transported from peripheral tissues to the liver in non-toxic forms.
- Alanine: Major carrier from muscle. (Glucose-Alanine Cycle)
- Glutamine: Major carrier from most other tissues.

⭐ Hyperammonemia classically presents with asterixis (flapping tremor), slurring of speech, somnolence, and cerebral edema.
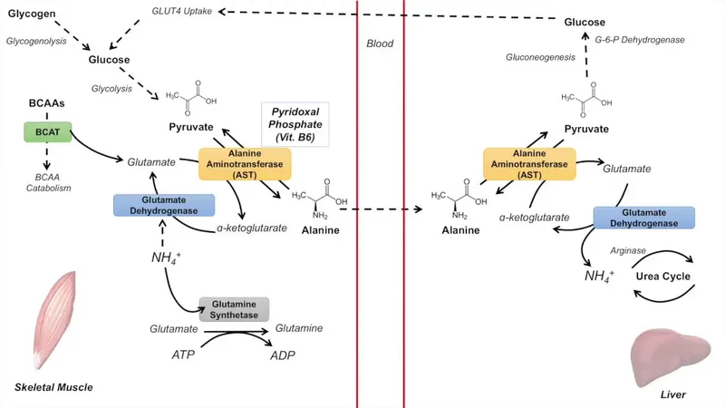
Nitrogen Transport: Alanine - Muscle's N-Shuttle
- The Glucose-Alanine Cycle transports amino groups from muscle to the liver in the non-toxic form of alanine.
- In Muscle (Fasting/Exercise):
- Amino acids from protein catabolism donate nitrogen to pyruvate.
- This reaction is catalyzed by Alanine Aminotransferase (ALT), forming alanine.
- In Liver:
- ALT reverses the process, converting alanine back to pyruvate.
- Nitrogen is funneled into the urea cycle for excretion.
- Pyruvate is used for gluconeogenesis, creating glucose that can be sent back to the muscle.
⭐ High-Yield Fact: Serum ALT is a specific marker for hepatocellular damage. In liver disease (e.g., viral hepatitis), ALT leaks from damaged hepatocytes into the bloodstream, causing elevated levels.

Nitrogen Transport: Glutamine - The Universal Carrier
- Primary Carrier: Glutamine is the major, non-toxic carrier of nitrogen in the blood, transporting it from peripheral tissues primarily to the liver.
- Synthesis (Most Tissues):
- Enzyme: Glutamine Synthetase (cytosolic).
- Reaction: Traps free ammonia (NH₄⁺) onto glutamate, requiring ATP.
- $Glutamate + NH₄⁺ + ATP \rightarrow Glutamine + ADP + Pi$
- Breakdown (Liver/Kidney):
- Enzyme: Glutaminase (mitochondrial).
- Reaction: Releases ammonia for the urea cycle (liver) or excretion (kidney).
- $Glutamine \rightarrow Glutamate + NH₄⁺$
⭐ In hyperammonemia, excess NH₄⁺ in the brain drives glutamine synthesis in astrocytes. This depletes glutamate (an excitatory neurotransmitter) and the resulting high intracellular glutamine acts as an osmole, causing astrocyte swelling and cerebral edema.

Hepatic Nitrogen Entry - Dropping Off the Cargo

- Alanine (from Muscle): In the Cahill cycle, pyruvate is transaminated to alanine. In the liver, Alanine Aminotransferase (ALT) reverses this, yielding pyruvate (for gluconeogenesis) and glutamate.
- Glutamine (from Muscle & Tissues): The major carrier. It delivers two nitrogen atoms.
- Glutaminase releases the first $NH_4^+$: $Glutamine \rightarrow Glutamate + NH_4^+$
- Glutamate Dehydrogenase releases the second $NH_4^+$: $Glutamate \rightarrow \alpha\text{-}Ketoglutarate + NH_4^+$
⭐ Glutamine is the most important, non-toxic form of ammonia transport in the blood.
High‑Yield Points - ⚡ Biggest Takeaways
- Ammonia (NH₃) is highly neurotoxic and requires safe transport to the liver for detoxification.
- The two major non-toxic nitrogen transporters in blood are alanine (from muscle) and glutamine (from most tissues).
- The glucose-alanine cycle shuttles amino groups from muscle to the liver, while regenerating glucose.
- Glutamine synthetase “fixes” free ammonia into glutamine, a critical step in peripheral tissues.
- Urea’s two nitrogen atoms are sourced from free ammonia (NH₄⁺) and aspartate.
Unlock the full lesson and continue reading
Signup to continue reading this lesson and unlimited access questions, flashcards, AI notes, and more