PPP Overview - The Sugar Shuffle
- The non-oxidative phase of the PPP; a reversible "sugar shuffle."
- Interconverts pentose phosphates (e.g., Ribose-5-P) into glycolytic intermediates (Fructose-6-P, Glyceraldehyde-3-P).
- Key enzymes: Transketolase and Transaldolase.
- Allows nucleotide synthesis (from Ribose-5-P) independent of the oxidative phase.
- No ATP is consumed or produced.

⭐ Transketolase requires Thiamine (Vitamin B1) as a cofactor. Measuring its activity in RBCs is a classic diagnostic test for thiamine deficiency (e.g., in Wernicke-Korsakoff syndrome).
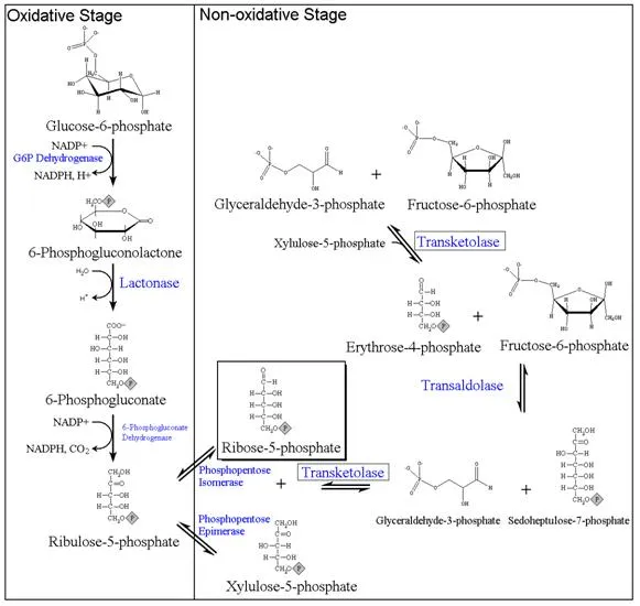
Pathway Phases - Oxidative vs. Non-Oxidative
-
Oxidative Phase: Irreversible & NADPH-Producing
- Function: Generates 2 NADPH per Glucose-6-P for reductive processes (e.g., glutathione reduction, fatty acid synthesis).
- Rate-Limiting Enzyme: Glucose-6-phosphate dehydrogenase (G6PD).
- Regulation: G6PD is induced by insulin. It is allosterically activated by its substrate NADP⁺ and inhibited by its product NADPH.
- End Products: 2 NADPH, Ribulose-5-P, and $CO_2$.
-
Non-Oxidative Phase: Reversible & Biosynthetic
- Function: Synthesizes Ribose-5-P for nucleotide/nucleic acid synthesis and converts pentoses into glycolytic intermediates.
- Key Enzymes: Transketolase (requires Thiamine/B1) and Transaldolase.
- Versatility: Allows cells to generate nucleotide precursors without producing NADPH, or vice-versa, by recycling intermediates back to glycolysis.
- 📌 Mnemonic: Transketolase needs Thiamine.
⭐ In tissues with high cell turnover (bone marrow, skin) or cancer cells, the non-oxidative pathway is highly active to supply Ribose-5-P for DNA/RNA synthesis.

G6PD - The Rate-Limiting Boss
- Irreversible, rate-limiting step of the Pentose Phosphate Pathway (PPP).
- Reaction: Glucose-6-Phosphate + NADP+ → 6-Phosphogluconolactone + NADPH.
- Regulation is key:
- Activated by: ↑ NADP+ (indicates need for biosynthetic precursors/reductive power).
- Inhibited by: ↑ NADPH (product feedback inhibition).
- Induction: Insulin upregulates G6PD gene transcription, linking PPP to the fed state (e.g., for fatty acid synthesis).
⭐ In G6PD deficiency, ↓ NADPH impairs glutathione reduction, leaving RBCs susceptible to oxidative damage. This leads to hemolytic anemia and Heinz bodies after exposure to triggers like sulfa drugs or fava beans.
G6PD Deficiency - Bite Cells & Bad Beans
- Pathophysiology: X-linked recessive defect in G6PD → ↓NADPH → ↓glutathione reduction. RBCs are susceptible to oxidative damage, leading to hemolysis.
- Triggers: Oxidative stress from infections, fava beans, or drugs (e.g., sulfonamides, primaquine, dapsone).
- Clinical/Labs:
- Acute hemolytic anemia, jaundice, dark urine.
- Heinz bodies: Precipitated, denatured hemoglobin.
- Bite cells: Phagocytic removal of Heinz bodies by splenic macrophages.

⭐ The defect confers a survival advantage against Plasmodium falciparum malaria.
High‑Yield Points - ⚡ Biggest Takeaways
- The primary functions are producing NADPH for reductive biosynthesis and antioxidant defense, and ribose-5-phosphate for nucleotide synthesis.
- The pathway occurs in the cytosol.
- Glucose-6-phosphate dehydrogenase (G6PD) is the rate-limiting, irreversible step.
- G6PD deficiency (X-linked) leads to hemolytic anemia triggered by oxidative stress.
- The non-oxidative reactions, catalyzed by transketolase and transaldolase, are reversible.
- High activity in RBCs, liver, and adrenal cortex.
Unlock the full lesson and continue reading
Signup to continue reading this lesson and unlimited access questions, flashcards, AI notes, and more