Steroidogenesis - Cholesterol's Makeover

- Foundation: All steroid hormones are synthesized from cholesterol, primarily in the adrenal cortex, gonads, and placenta.
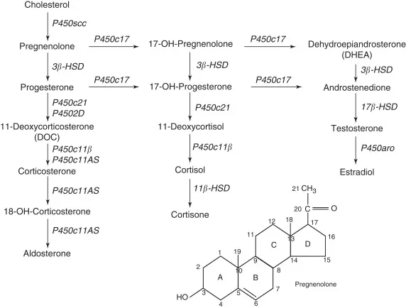
- Rate-Limiting Step: Cholesterol → Pregnenolone, via cholesterol desmolase (P450scc) in the mitochondria. This step is stimulated by ACTH.
- 📌 Mnemonic for adrenal cortex zones (from outside-in) & products: "Salt, Sugar, Sex... the deeper you go, the sweeter it gets."
- Zona Glomerulosa → Aldosterone (Salt)
- Zona Fasciculata → Cortisol (Sugar)
- Zona Reticularis → Androgens (Sex)
⭐ Enzyme deficiencies are a high-yield topic. A $21$-hydroxylase deficiency shunts all precursors towards androgen production, leading to virilization.
Synthesis Pathway - The Adrenal Axis
- Regulation: Hypothalamic CRH → Pituitary ACTH → Adrenal cortex stimulation.
- Rate-Limiting Step: Cholesterol → Pregnenolone, catalyzed by Cholesterol Desmolase (CYP11A1) in mitochondria.

- Adrenal Cortex Zones (superficial to deep):
- Glomerulosa → Aldosterone (mineralocorticoids)
- Fasciculata → Cortisol (glucocorticoids)
- Reticularis → Androgens (sex hormones)
- 📌 Mnemonic: "Goes Faster with Red And Caffeine" (Salt, Sugar, Sex...the deeper you go, the sweeter it gets).
⭐ 21-Hydroxylase Deficiency (CYP21A2) is the most common form of Congenital Adrenal Hyperplasia (CAH). It leads to ↓cortisol, ↓aldosterone, and ↑androgens. Presents with virilization in females, salt wasting (hyponatremia, hyperkalemia), and hypotension. Classic finding: ↑17-hydroxyprogesterone.
Congenital Adrenal Hyperplasia - Enzyme Glitches
- Autosomal recessive disorders leading to cortisol synthesis defects. ACTH stimulation ↑, causing adrenal hyperplasia.

-
21-Hydroxylase Deficiency (Most Common, >90%)
- ↓ Aldosterone & Cortisol, ↑ Sex Hormones.
- Presents with salt wasting (hyponatremia, hyperkalemia, hypotension) & virilization in XX females.
- 💡 ↑ 17-hydroxyprogesterone is diagnostic.
-
11β-Hydroxylase Deficiency
- ↓ Aldosterone & Cortisol, ↑ Sex Hormones.
- ↑ 11-deoxycorticosterone (weak mineralocorticoid) → Hypertension.
- Virilization in XX females.
-
17α-Hydroxylase Deficiency
- ↑ Aldosterone, ↓ Cortisol & Sex Hormones.
- Hypertension, hypokalemia.
- XY: Ambiguous genitalia. XX: Lacks secondary sexual development.
⭐ Newborn Screening: All states screen for CAH by measuring 17-hydroxyprogesterone levels to detect 21-hydroxylase deficiency early and prevent life-threatening adrenal crises.
High‑Yield Points - ⚡ Biggest Takeaways
- All steroid hormones are derived from cholesterol.
- The rate-limiting enzyme is desmolase (CYP11A1), converting cholesterol to pregnenolone; this step is stimulated by ACTH.
- StAR protein is essential for transporting cholesterol into the mitochondria.
- 21-hydroxylase deficiency is the most common CAH, presenting with virilization and salt wasting.
- 17α-hydroxylase deficiency causes hypertension and hypogonadism.
- Hormone production is dictated by the unique enzymes within each adrenal cortex layer.
Unlock the full lesson and continue reading
Signup to continue reading this lesson and unlimited access questions, flashcards, AI notes, and more